• Предмет: Алгебра
  • Автор: linaice
  • Вопрос задан 11 лет назад

решите уравнение:1/8х4-2=0

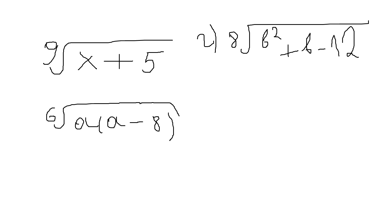
вкладыш при каких значениях переменной имеет смысл выражение


Приложения:

Ответы

Ответ дал: Nik133
0

1 вкладыш

y-3>=0

y>=3

y є [3; +оо)

 

2 вкладыш

1) x є (-оо; +оо)


2) b^2+b-12>=0

b^2+b-1=0

D=1+4=5

b1=(-1+sqrt5)/2

b2=(-1-sqrt5)/2

b є (-оо; (-1-sqrt5)/2] U [(-1-sqrt5)/2; +оо)


3) a(a-8)>=0

a^2-8a>=0

a^2-8a=0

a(a-8)=0
a1=0

a2=8

a є (-оо; 0] U [8; +оо)

Вас заинтересует