Ответы
Ответ дал:
0
решил яяяяяяяяяяяяяяяяяяяяяяяяяяяя
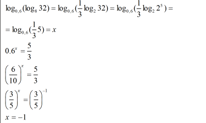
ОТВЕТ: -1
ХОД решения на картинке.
ОТВЕТ: -1
ХОД решения на картинке.
Приложения:

Вас заинтересует
2 года назад
2 года назад
7 лет назад
7 лет назад
10 лет назад
10 лет назад
10 лет назад