Ответы
Ответ дал:
0
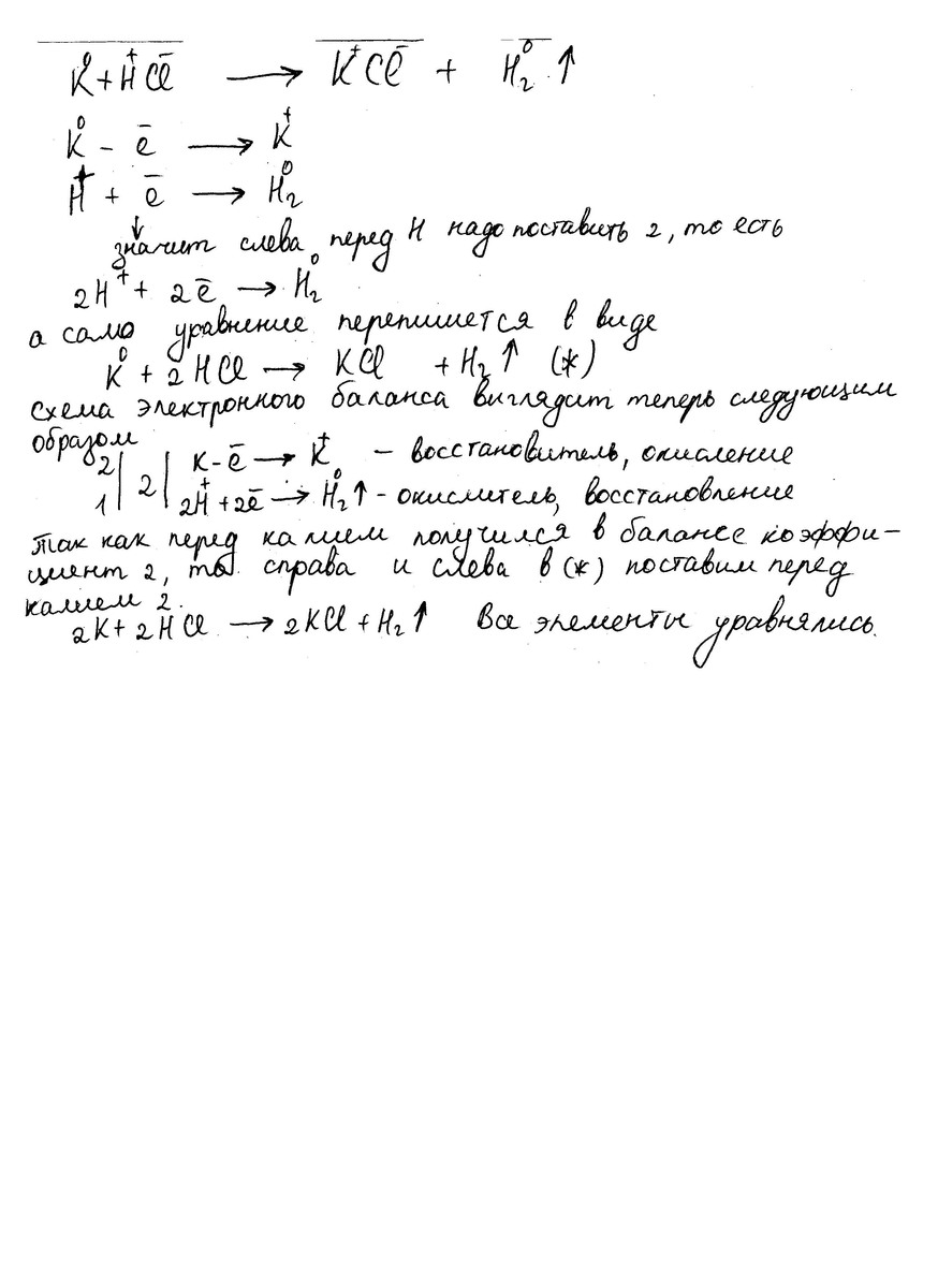
Решение смотри во вложении. Должно быть понятно.
Приложения:

Вас заинтересует
2 года назад
7 лет назад
10 лет назад
10 лет назад