Ответы
Ответ дал:
0
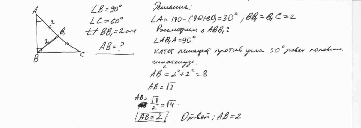
Ответ смотри во вложении:
Приложения:

Ответ дал:
0
в треугольнике АВС угол С=60 градусов, а угол В=35градусам, СD - высота. найдите углы треугольника ACD пожалуйста!!
Вас заинтересует
7 лет назад
10 лет назад
10 лет назад