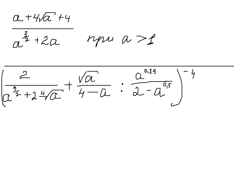
сократите дробь (a+4* корень из a + 4) / (a^(3/2) + 2a); помогите пожалуйста!!! и еще одно уравнение упростить выражение(оба выражения в вложении)
Приложения:

Ответы
Ответ дал:
0
___________________________________________________________________________
Приложения:

Вас заинтересует
8 лет назад
8 лет назад
10 лет назад
10 лет назад
10 лет назад