Ответы
Ответ дал:
0
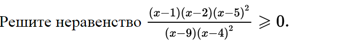
решим методом интервалов. Для этого на координатной прямой отметим нули: числа 1; 2;4;5;9 из них 1,2 и 5 закрашенные,а 4 и 9 пустые(т.к. знаменатель не может быть равным нулю). А теперь на каждом из полученных промежутков проверим знак (подставим любое число из промежутка в неравенство) Итак:
(-∞;1] (-)(-)(+)/(-)(+)<0
[1;2] (+)(-)(+)/(-)(+)>0
[2;4) (+)(+)(+)/(-)(+)<0
(4;5] (+)(+)(+)/(-)(+) <0
[5;9) (+)(+)(+)/(-)(+) <0
(9;+∞) (+)(+)(+)/(+)(+) >0
Ответ:[1;2]объеденено (9;+∞)
(-∞;1] (-)(-)(+)/(-)(+)<0
[1;2] (+)(-)(+)/(-)(+)>0
[2;4) (+)(+)(+)/(-)(+)<0
(4;5] (+)(+)(+)/(-)(+) <0
[5;9) (+)(+)(+)/(-)(+) <0
(9;+∞) (+)(+)(+)/(+)(+) >0
Ответ:[1;2]объеденено (9;+∞)
Вас заинтересует
3 года назад
3 года назад
8 лет назад
10 лет назад
10 лет назад
11 лет назад