• Предмет: Алгебра
  • Автор: cx10
  • Вопрос задан 10 лет назад

Упростите заданные выражения

Приложения:

Ответы

Ответ дал: tatiana0123
0
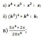
первое-х6
второе-к13
третье-
Ответ дал: cx10
0
что 3?
Вас заинтересует