• Предмет: Алгебра
  • Автор: Shareman1
  • Вопрос задан 10 лет назад

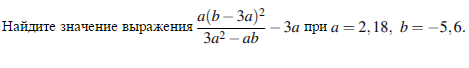
Помогите пожалуйста с решением...

Приложения:

Ответы

Ответ дал: Аноним
0
 frac{a(b-3a)^{2} }{3 a^{2}-ab } -3a= frac{a(b-3a)^{2} }{-a(b-3a) } -3a=  frac{b-3a}{-1} -3a=-(b-3a)-3a=
=-b+3a-3a=-b
При b=-5,6:
-b=-(-5,6)=5,6
Ответ дал: Shareman1
0
Благодарю...
Вас заинтересует