Ответы
Ответ дал:
0
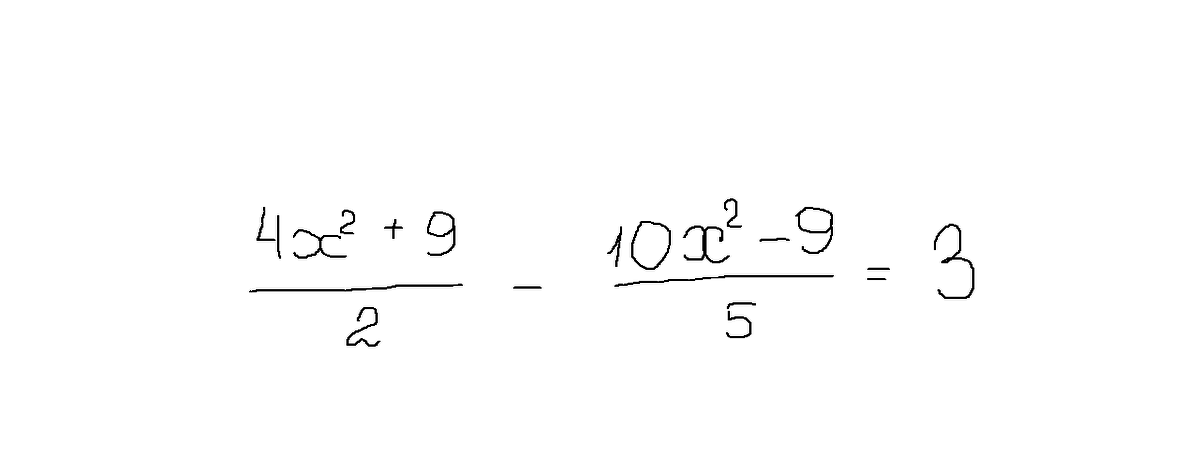
Приведем к общему знаменателю. Это 10. Значим, домножим первую дробь на 5, вторую на 2 и 3 - на 10
Получим дробь у которой в знаменателе 10, а в чмслителе
20x²+45-20x²+18=30
20x² сократится
Останется 63=40
Ответ: нет решений
Получим дробь у которой в знаменателе 10, а в чмслителе
20x²+45-20x²+18=30
20x² сократится
Останется 63=40
Ответ: нет решений
Ответ дал:
0
= (20x^2+45-20x^2-18-30)/10= сокращаем =-3
Вас заинтересует
3 года назад
3 года назад
8 лет назад
8 лет назад
10 лет назад
10 лет назад
11 лет назад