• Предмет: Алгебра
  • Автор: Аноним
  • Вопрос задан 11 лет назад

Упростить:

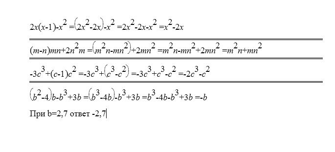
1) 2х*(х-1)-х^2(второй степени)=?

2) (m-n)*mn+2n^2(второй степени) m=?

3) -3с^3(третей степени)+(с-1)*с^2(второй степени)=?

4) (b^2(второй степени)-4)*b-b^3(третей степени)+3b; если b=2,7=?

 

 

^2,^3-возле числа,буквы- это значит степень,например: х^2; х(во второй степени)

 

помогите пожалуйста!!!!!!!!!!!

Ответы

Ответ дал: SKITLS23
0

1)2х*(х-1)-х^2=2x^2-2x-x^2=x^2-2X

3)-3c^3+(c-1)*c^2=-3c^3+c^3-c^2=-2c^3-c^2

4)(b^2-4)*b-b^3+3b=b^3-4b-b^3+3b=-b=-2,7

Ответ дал: triolana
0

=========================================================

Приложения:
Вас заинтересует