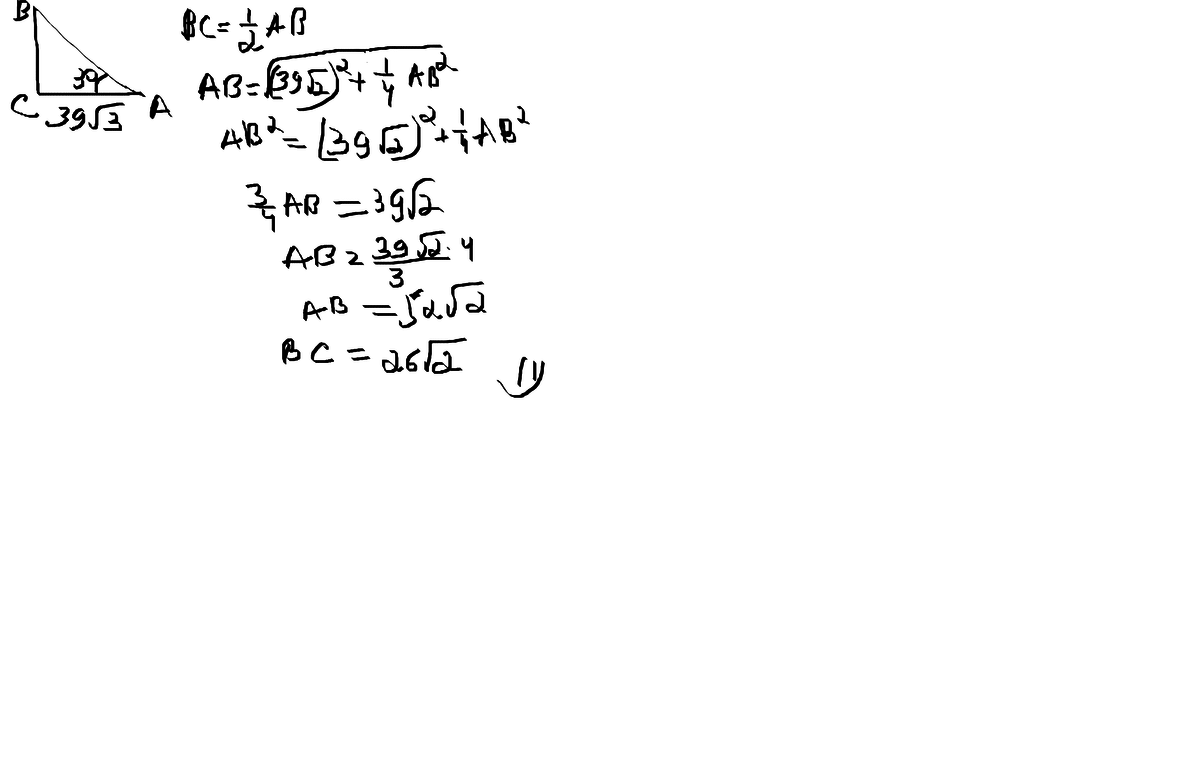
в треугольнике abc угол c равен 90 градусов угол a равен 30 градусов ac=39 корен из 3 найдите bc
Ответы
Ответ дал:
0
всего лишь надо знать, что в прямоугольном треуг. катет лежащий против угла в 30 градусов равен половине гипотенузы
Приложения:

Вас заинтересует
2 года назад
7 лет назад
10 лет назад
10 лет назад
10 лет назад