Ответы
Ответ дал:
0
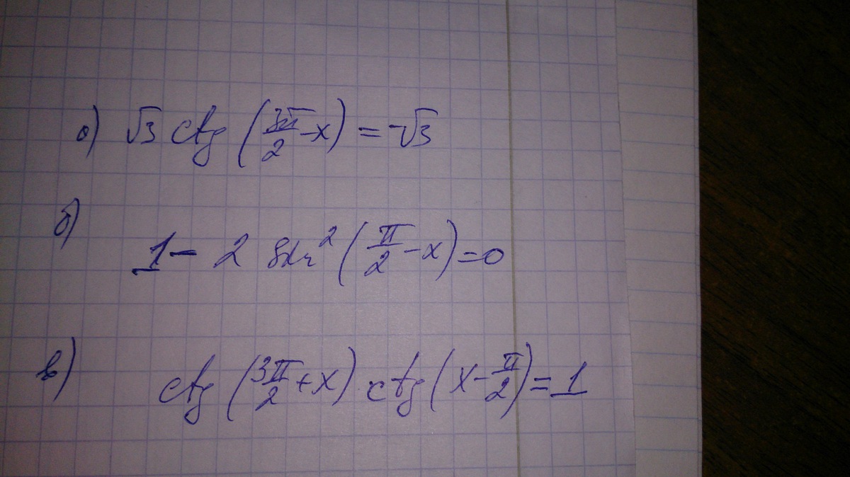
1) √3ctg(3π/2 - x) = - √3
tgx = - 1
x = - π/4 + πk, k∈Z
2) 1 - 2*sin^2(π/2 - x) = 0
cos^2x = 1/2
a) cosx = - √2/2
x = (+ -)arccos(- √2/2) + 2πn, n∈Z
x = (+ -)*(π - arccos(√2/2) + 2πn, n∈Z
x = (+ -)*(π - π/4) + 2πn, n∈Z
x1 = (+ -)*( 3π/4) + 2πn, n∈Z
b) cos^2x = √2/2
x = (+ -)arccos(√2/2) + 2πn, n∈Z
x2 = (+ -)*( π/4) + 2πn, n∈Z
3) ctg(3π/2 + x)*ctg(x - π/2) = 1
tgx*tgx = 1
tg^2x = 1
a) tgx = - 1
x = - π/4 + πk, k∈Z
b) tgx = 1
x = π/4 + πn, n∈Z
tgx = - 1
x = - π/4 + πk, k∈Z
2) 1 - 2*sin^2(π/2 - x) = 0
cos^2x = 1/2
a) cosx = - √2/2
x = (+ -)arccos(- √2/2) + 2πn, n∈Z
x = (+ -)*(π - arccos(√2/2) + 2πn, n∈Z
x = (+ -)*(π - π/4) + 2πn, n∈Z
x1 = (+ -)*( 3π/4) + 2πn, n∈Z
b) cos^2x = √2/2
x = (+ -)arccos(√2/2) + 2πn, n∈Z
x2 = (+ -)*( π/4) + 2πn, n∈Z
3) ctg(3π/2 + x)*ctg(x - π/2) = 1
tgx*tgx = 1
tg^2x = 1
a) tgx = - 1
x = - π/4 + πk, k∈Z
b) tgx = 1
x = π/4 + πn, n∈Z
Вас заинтересует
3 года назад
3 года назад
8 лет назад
8 лет назад
10 лет назад
10 лет назад
11 лет назад