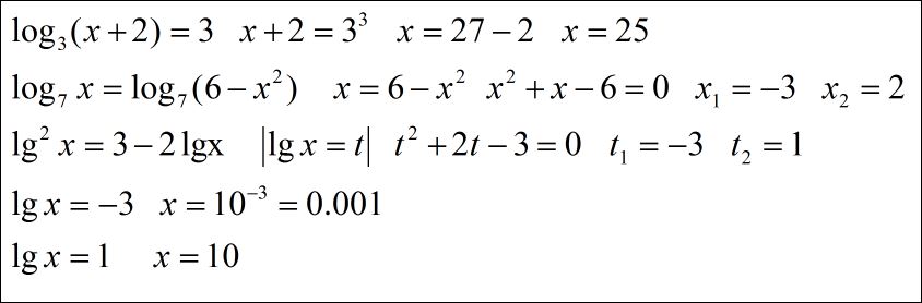
Решить уравнение(на основании определения логарифма)

решить уравнение методом потенцирования

решить уравнение способом преобразования к квадратному
Ответы
Ответ дал:
0
решение смотри во вложении
Приложения:
Вас заинтересует
3 года назад
10 лет назад
11 лет назад
11 лет назад