Ответы
Ответ дал:
0
Когда вычисляются стороны треугольника желательно проверить хотя бы по правилу - сумма двух любых сторон больше третьей.
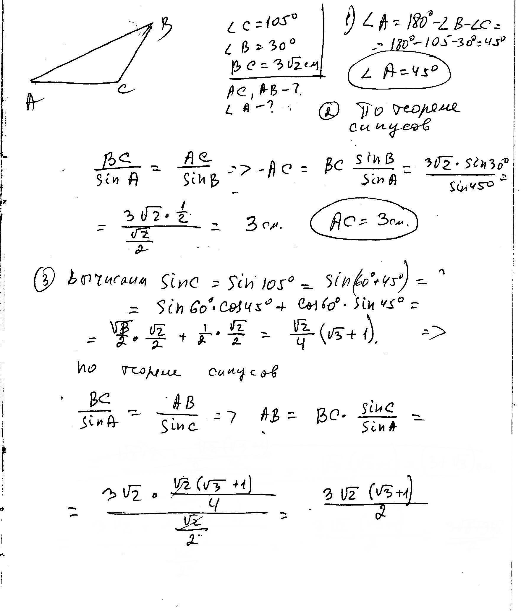
Решение в скане.
Решение в скане.
Приложения:

Вас заинтересует
2 года назад
2 года назад
7 лет назад
7 лет назад
10 лет назад