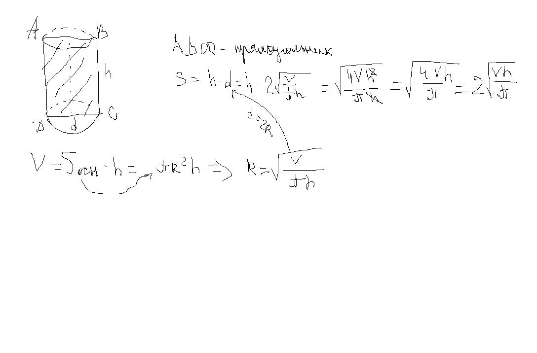
Объём цилиндра равен V , а его высота-H . Найдите площадь осевого сечения цилиндра. В ответе должно получиться S = 2√H×V/Π
Заранее благодарствую
Ответы
Ответ дал:
0
решение в приложении
Приложения:

Вас заинтересует
2 года назад
7 лет назад
7 лет назад
10 лет назад
10 лет назад
10 лет назад