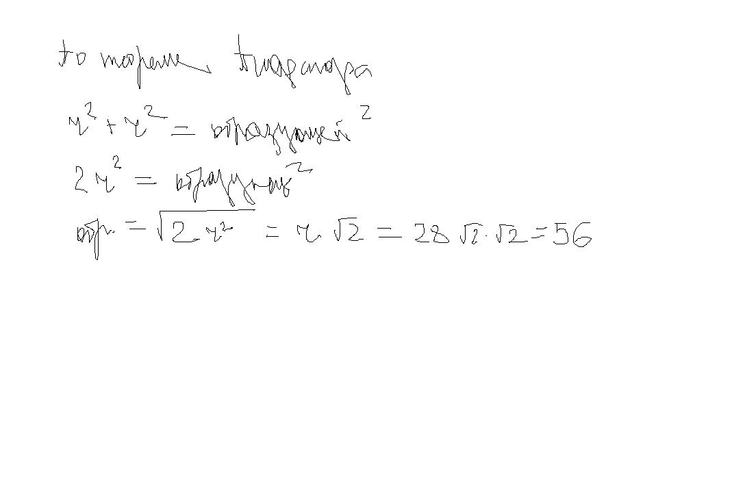
около конуса описана сфера (сфера содержит окружность основания конуса и его вершину). Центр сферы находится в центре основания конуса. Радиус сферы равен 28√2. Найдите образующую конуса
Приложения:

Ответы
Ответ дал:
0
ответ в приложении смотрите
Приложения:

Вас заинтересует
7 лет назад
10 лет назад
10 лет назад
10 лет назад