• Предмет: Алгебра
  • Автор: steep6
  • Вопрос задан 10 лет назад

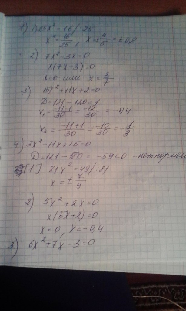
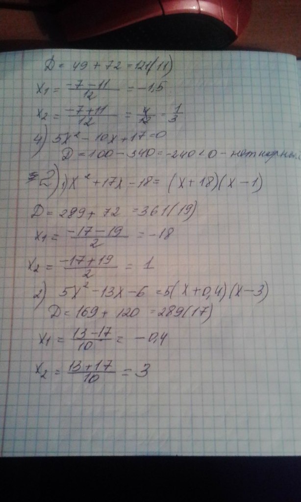
Дам 20 баллов ! Помогите пожалуйста . Алгебра 8 класс .Решите 1,2, 3. задание .Все вопросы в комментарии .

Приложения:

Ответы

Ответ дал: baynur98
0
#1
1)х=4/5
2)х=0, х=3/7
Ответ дал: 170797170797
0
я сейчас решаю.
Ответ дал: 170797170797
0
сейчас скину
Ответ дал: 170797170797
0
..........пожалуйста)............
Приложения:
Ответ дал: steep6
0
Можешь написать последовательность ? Просто тут не очень понятно .
Ответ дал: 170797170797
0
сначала 3 фото, потом 4, потом 1, потом 2.
Ответ дал: steep6
0
Спасибо)
Ответ дал: steep6
0
Это 1,2,3 номера ,да ?
Ответ дал: 170797170797
0
да. все номера
Вас заинтересует