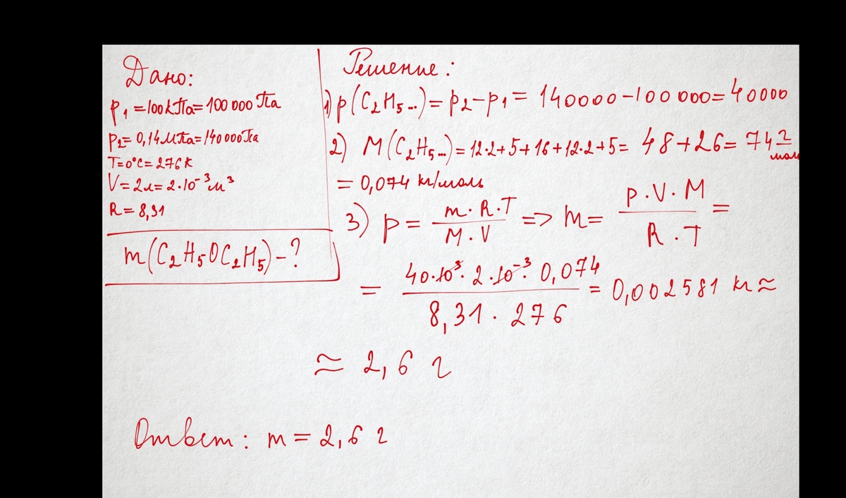
В закрытый сосуд, наполненный воздухом, вводится диэтиловый эфир (C2H5OC2H5). Воздух находится при нормальных условиях (0 °С, 100 кПа) . После того как весь эфир испарился, давление в сосуде стало равно 0.14 МПа. Какое количество эфира было введено в сосуд. Объем сосуда V = 2 л.
Ответы
Ответ дал:
0
..............................................
Приложения:

Ответ дал:
0
спасибо
Ответ дал:
0
R- это что
Ответ дал:
0
Постоянная газовая величина
Ответ дал:
0
R=k*Na , где k-постоянная Больцмана и Na-постоянная Авогадро
Ответ дал:
0
большое тебе спасибо)))
Вас заинтересует
2 года назад
2 года назад
7 лет назад
10 лет назад
10 лет назад
10 лет назад