Ответы
Ответ дал:
0
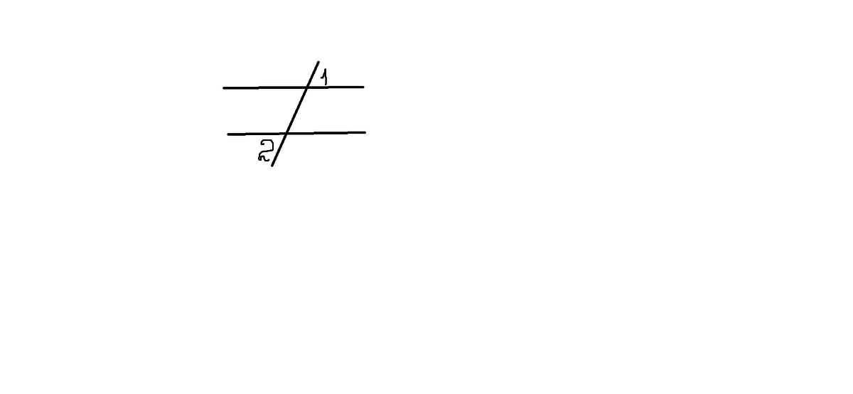
Углы 1 и 2 на рисунке называются накрест лежащими.
По свойству таких углов, если они равны друг другу, то две пересечённые прямые - параллельны друг другу.
И наоборот, если две прямые параллельны, и их пересекает третья, то накрест лежащие углы будут равны.
P.S. правда предмет называется геометрией, а не географией :)
По свойству таких углов, если они равны друг другу, то две пересечённые прямые - параллельны друг другу.
И наоборот, если две прямые параллельны, и их пересекает третья, то накрест лежащие углы будут равны.
P.S. правда предмет называется геометрией, а не географией :)
Ответ дал:
0
ну так это ж отличник писал!:))
Вас заинтересует
3 года назад
3 года назад
8 лет назад
10 лет назад
10 лет назад
11 лет назад
11 лет назад