• Предмет: Алгебра
  • Автор: kabeerka
  • Вопрос задан 11 лет назад

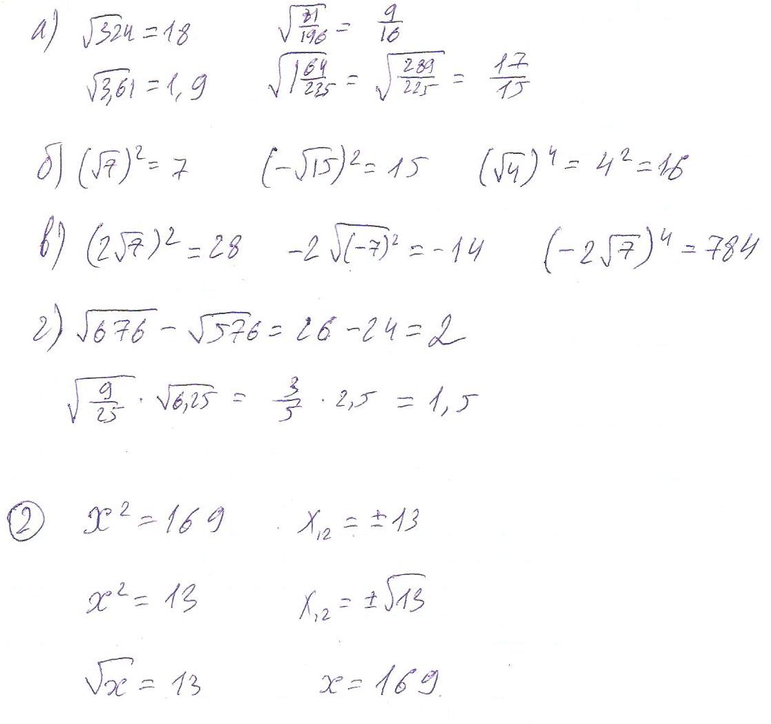
2 вариант помогите решить плиз

Приложения:

Ответы

Ответ дал: Artem112
0

надеюсь поятно будет...

Приложения:
Вас заинтересует