• Предмет: Математика
  • Автор: djek159
  • Вопрос задан 10 лет назад

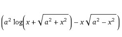
вычислить 2ю производную y'' a=const

Приложения:

Ответы

Ответ дал: NNNLLL54
0
y=a^2ln(x+sqrt{a^2+x^2})-xsqrt{a^2-x^2}\\y'=a^2cdot frac{1+frac{2x}{2sqrt{a^2+x^2}}}{x+sqrt{a^2+x^2}}-sqrt{a^2-x^2}-frac{xcdot (-2x)}{2sqrt{a^2-x^2}}=\\=a^2cdot frac{sqrt{a^2+x^2}+x}{sqrt{a^2+x^2}(x+sqrt{a^2+x^2})}-frac{a^2-x^2-x^2}{sqrt{a^2-x^2}}=frac{a^2}{sqrt{a^2+x^2}}-frac{a^2-2x^2}{sqrt{a^2-x^2}}\\y''=frac{-a^2cdot frac{2x}{2sqrt{a^2+x^2}}}{a^2+x^2}-frac{-4xsqrt{a^2-x^2}-(a^2-2x^2)cdot frac{-2x}{2sqrt{a^2-x^2}}}{a^2-x^2}=\\=frac{-a^2x}{sqrt{(a^2+x^2)^3}}+

+frac{2x^3-3xa^2}{sqrt{(a^2-x^2)^3}}
Вас заинтересует