• Предмет: Алгебра
  • Автор: trapkova1997
  • Вопрос задан 10 лет назад

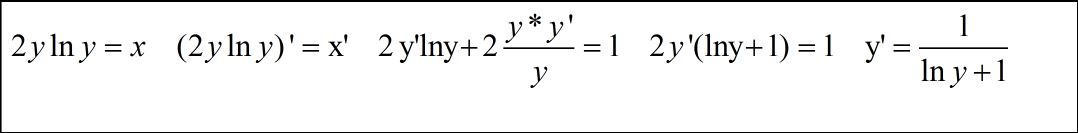
Вычислить производную функции заданной неявно
2ylny=x.

Ответы

Ответ дал: Аноним
0
решение смотри во вложении
Приложения:
Вас заинтересует