• Предмет: Математика
  • Автор: savelyevstas
  • Вопрос задан 10 лет назад

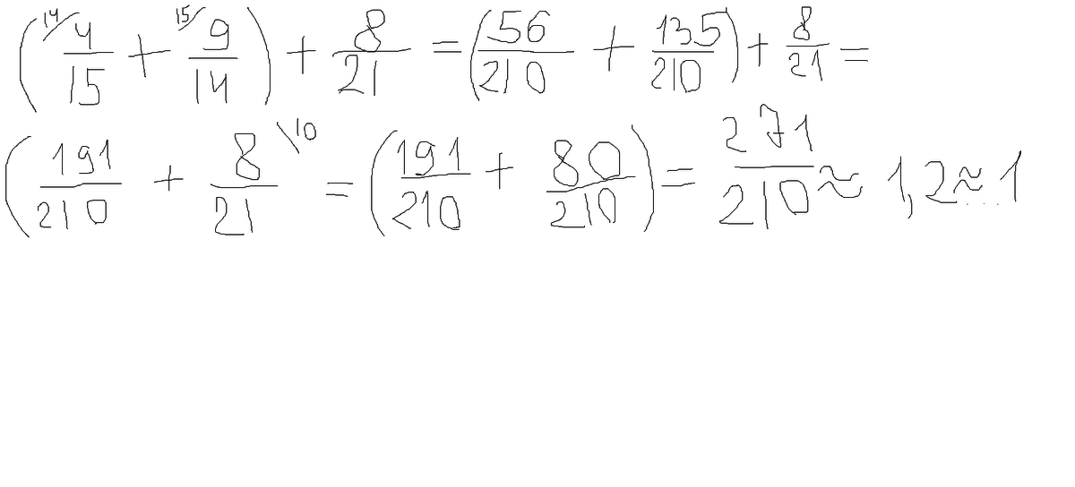
сложите дроби выделите целую часть плиз срочно а)4/15+9/14+8/21= б)1целая 7/15+ 2цел 11/36+6/35= в)2ц 13/20+3ц 7/8= г)3/4+2/7+3/10+1/4+7/10+3/7= д)5/18+3/20+1/18+17/20 заранее спасибо плиз с решением

Ответы

Ответ дал: Анютка1998Нюта
0
Только там где я округлила не то, целая часть как по заданию, например в г)- 2 а не 3
Приложения:
Ответ дал: savelyevstas
0
ладно
Ответ дал: daryakrab
0
Это неверый ответ
Вас заинтересует