• Предмет: Алгебра
  • Автор: bossartem
  • Вопрос задан 10 лет назад

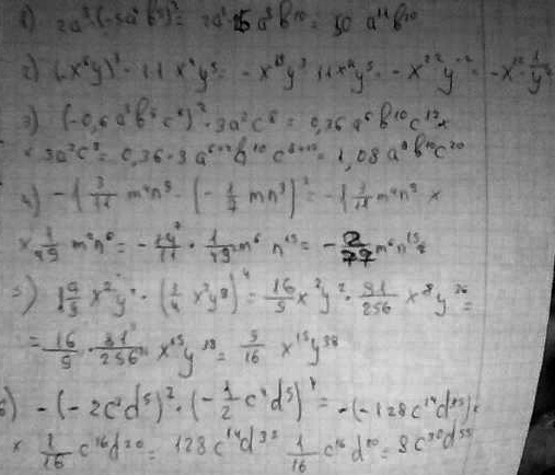
пожалуста зделайте с полным решением номер 280 буду благодарен

Приложения:

Ответы

Ответ дал: JuliaKovalchook
0
.............................................................
Приложения:
Вас заинтересует