• Предмет: Алгебра
  • Автор: ruslanas123
  • Вопрос задан 10 лет назад

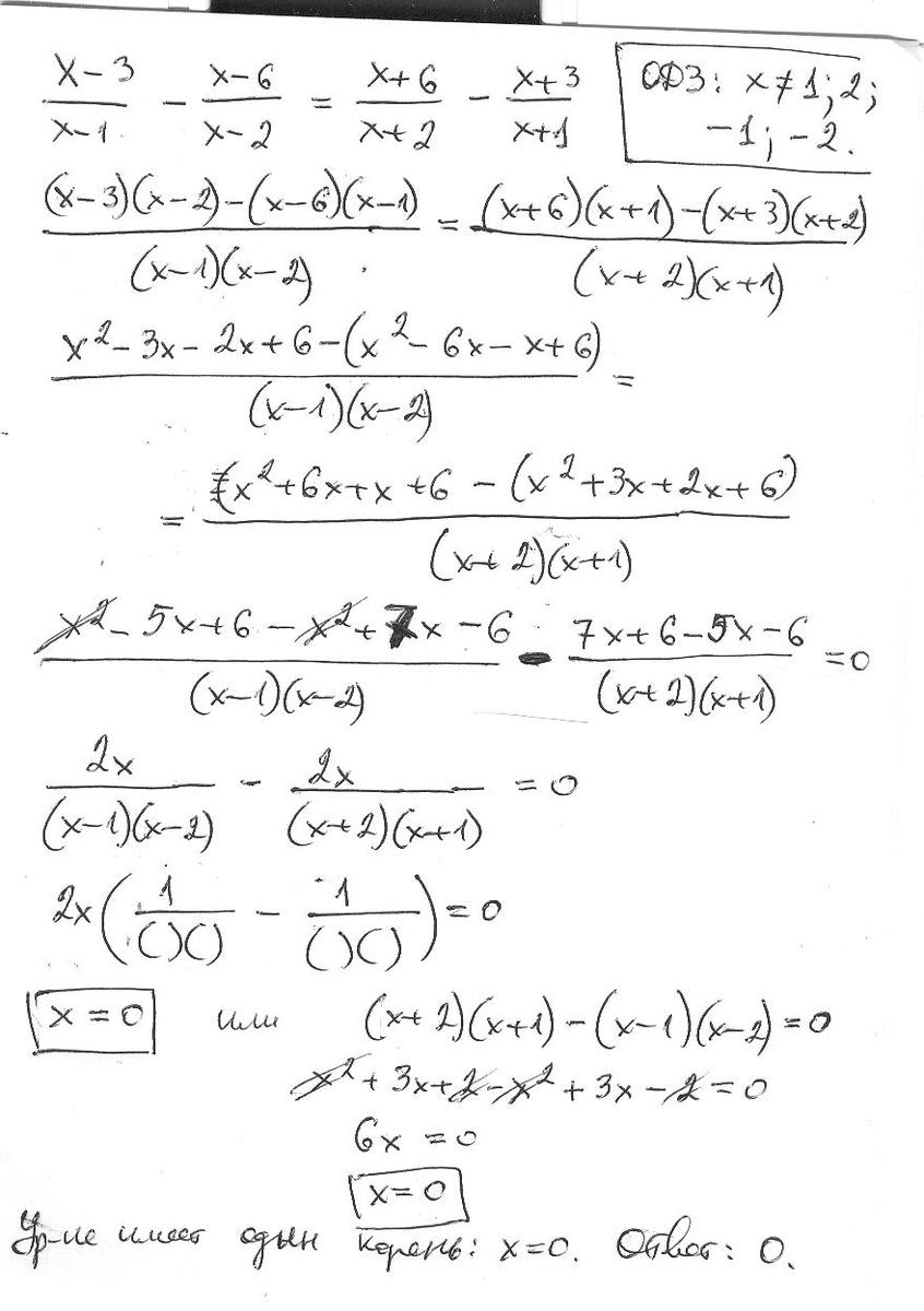
Чему равна сумма всех корней уравнения?
x-3/x-1 - x-6/x-2 = x+6/x+2 - x+3/x+1

Ответы

Ответ дал: konst92
0
Лови отсканированный файл.
Приложения:
Вас заинтересует