• Предмет: Физика
  • Автор: zidan136
  • Вопрос задан 10 лет назад

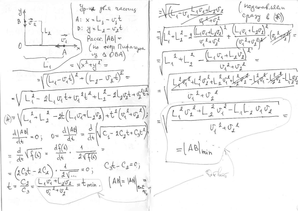
Две частицы A и B движутся с постоянными скоростями v1 и v2 по двум взаимно перпендикулярным прямым к точке их пересечения O. В начальный момент времени частицы от точки O находились на расстояниях L1 и L2. Через какой промежуток времени t расстояние  L между частицами станет наименьшим? Чему оно равно? ( с интернета решение не прокатило (( ).
Помогите, пожалуйста!

Ответы

Ответ дал: konst92
0
Лови приложенный файл!
Приложения:
Ответ дал: zidan136
0
Спасибо огромное! С Наступающим Вас НГ!)
Вас заинтересует