с помощью линзы на экране получили четкое изображение пламени свечи, имеющее высоту H1 15 см. отодвинув свечу от линзы на расстояние b 1,5 см и передвинув экран получили четкое изображение пламени свечи имеющее высоту H2 10 см. найдите фокусное расстояние F линзы, если высота свечи h 2,5 см
Ответы
Ответ дал:
0
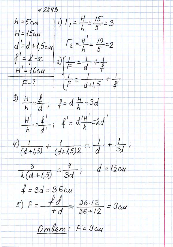
с помощью линзы на экране получили четкое изображение пламени свечи, имеющее высоту H1 15 см. отодвинув свечу от линзы на расстояние b 1,5 см и передвинувэкран получили четкое изображение пламени свечи имеющее высоту H2 10 см. найдите фокусное расстояние F линзы, если высота свечи h 5 см
Приложения:

Вас заинтересует
7 лет назад
7 лет назад
10 лет назад