Ответы
                                            Ответ дал: 
                                                                                    
                                        
                                            
                                                
                                                
                                                
                                                    0
                                                
                                            
                                        
                                    
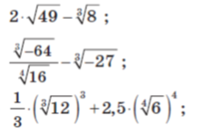
                                        1)2*√49-∛8=2*7-2=12
2)∛-64/ (4)√16 -∛-27⇒-4/2 -(-3)=-2+3=1
3) 1/3 (∛12)³+2.5 ((4)√6)^4 ⇒1/3*12+2.5*6=4+15=19
                                        
                                        
                                2)∛-64/ (4)√16 -∛-27⇒-4/2 -(-3)=-2+3=1
3) 1/3 (∛12)³+2.5 ((4)√6)^4 ⇒1/3*12+2.5*6=4+15=19
Вас заинтересует
                
                        2 года назад
                    
                
                        7 лет назад
                    
                
                        7 лет назад
                    
                
                        10 лет назад
                    
                
                        10 лет назад