Ответы
Ответ дал:
0
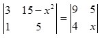
Это уравнение. Если раскрыть определители, то получим







Вас заинтересует
2 года назад
8 лет назад
8 лет назад
10 лет назад
10 лет назад
11 лет назад