• Предмет: Алгебра
  • Автор: elvin2545
  • Вопрос задан 10 лет назад

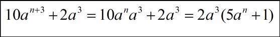
всем привет,пожалуйста объясните если не трудно подробнее,как это разложить на множители?

Приложения:

Ответы

Ответ дал: Аноним
0
решение смотри во вложении
Приложения:
Ответ дал: elvin2545
0
нету...
Ответ дал: Аноним
0
чего нету?
Вас заинтересует