• Предмет: Алгебра
  • Автор: mrBagget
  • Вопрос задан 10 лет назад

Найти сумму целых x
Помогите)

Приложения:

Ответы

Ответ дал: Аноним
0
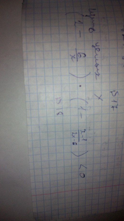
textbf{(2-} frac{textbf{6}}{textbf{x}} )cdot(textbf{1-} frac{textbf{x-1}}{textbf{2x-6}} )<textbf{0}

Отметим ОДЗ.
 left { {{textbf{x} neq textbf{0}} atop {textbf{2x-6} neq textbf{0}}} right.

Решаем уравнение:

textbf{2-} frac{textbf{6}}{textbf{x}} textbf{=0} \ textbf{2x=6} \ textbf{x=3} \  \ textbf{1-} frac{textbf{x-1}}{textbf{2x-6}}textbf{=0}  \  \ textbf{2x-6-x+1=0} \  \ textbf{x=5}

Полученное решение отметим на рисунке

___+__(0)___-__(3)___-___(5)___+____>

Решение неравенства: textbf{x} in textbf{(0;3)}cuptextbf{(3;5)}

Cумма целых чисел: textbf{1+2+4=7}



Ответ: textbf{7.}


Вас заинтересует