• Предмет: Алгебра
  • Автор: marinanikolina
  • Вопрос задан 10 лет назад

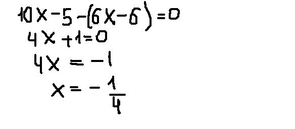
При каком значении х разность выражений 10х–5 и 6х–6 равна 0

Ответы

Ответ дал: ПоляСветаева
0
Если это то, что на самом деле тебе требуется, то так)
Приложения:
Ответ дал: marinanikolina
0
Спасибо
Ответ дал: ПоляСветаева
0
Не за что)
Ответ дал: fiofionina
0
Решение:
(10х-5)-(6х-6)=0
10х-5-6х+6=0
4х+1=0
4х=-1
х=-1 : 4=-1/4

Ответ: х=-1/4
Приложения:
Вас заинтересует