Ответы
Ответ дал:
0
вот решила, смотри файл:)
Приложения:

Ответ дал:
0
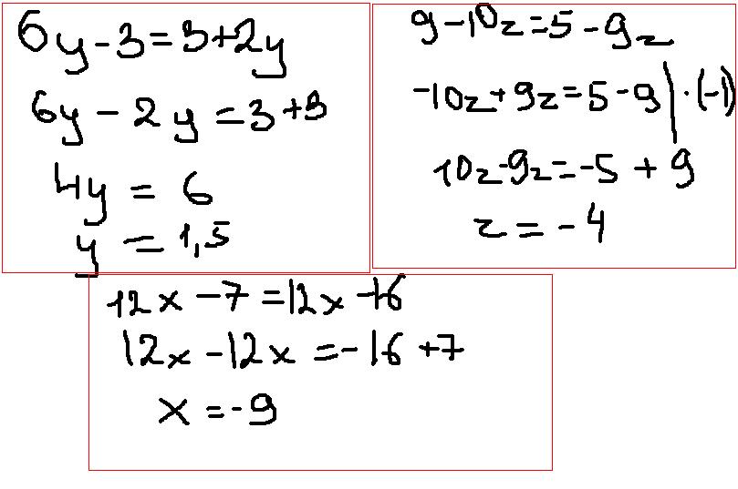
6у-2у=3+3
4у=6
у=1,5
-10z+9z=5-9
-1z=-4
z=4
12x-12x=-16+7
х=-9
4у=6
у=1,5
-10z+9z=5-9
-1z=-4
z=4
12x-12x=-16+7
х=-9
Приложения:

Вас заинтересует
2 года назад
7 лет назад
7 лет назад
10 лет назад
10 лет назад
10 лет назад