• Предмет: Алгебра
  • Автор: Olya1706
  • Вопрос задан 10 лет назад

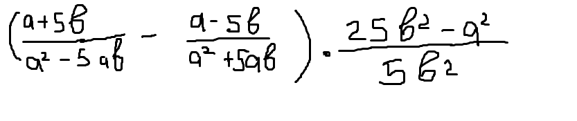
Вот: упростите пример.

Приложения:

Ответы

Ответ дал: DIANKA367
0
.......................
Приложения:
Ответ дал: bestiacat
0
а куда b делось в знаменателе?
Ответ дал: DIANKA367
0
ой, не заметила) там разделить на b
Ответ дал: bestiacat
0
 (frac{a+5b}{a^2-5ab} - frac{a-5b}{a^2+5ab} )* frac{25b^2-a^2}{5b^2}= frac{(a+5b)(a^2+5ab)-(a-5b)(a^2-5ab)}{(a^2-5ab)(a^2+5ab)}*frac{25b^2-a^2}{5b^2}= frac{a^3+5a^2b+5a^2b+25ab^2-a^3+5a^2b+5a^2b-25ab^2}{(a^2-5ab)(a^2+5ab)}* frac{25b^2-a^2}{5b^2}=    frac{20a^2b}{a(a-5b)(a+5b)}* frac{(5b+a)(5b+a)}{5b^2}= frac{4a(5b-a)}{ab(a-5b)}= frac{4(5b-a)}{b(a-5b)}   = frac{-4(a-5b)}{b(a-5b)}= -frac{4}{b}
Приложения:
Вас заинтересует