• Предмет: Химия
  • Автор: romanolkis
  • Вопрос задан 10 лет назад

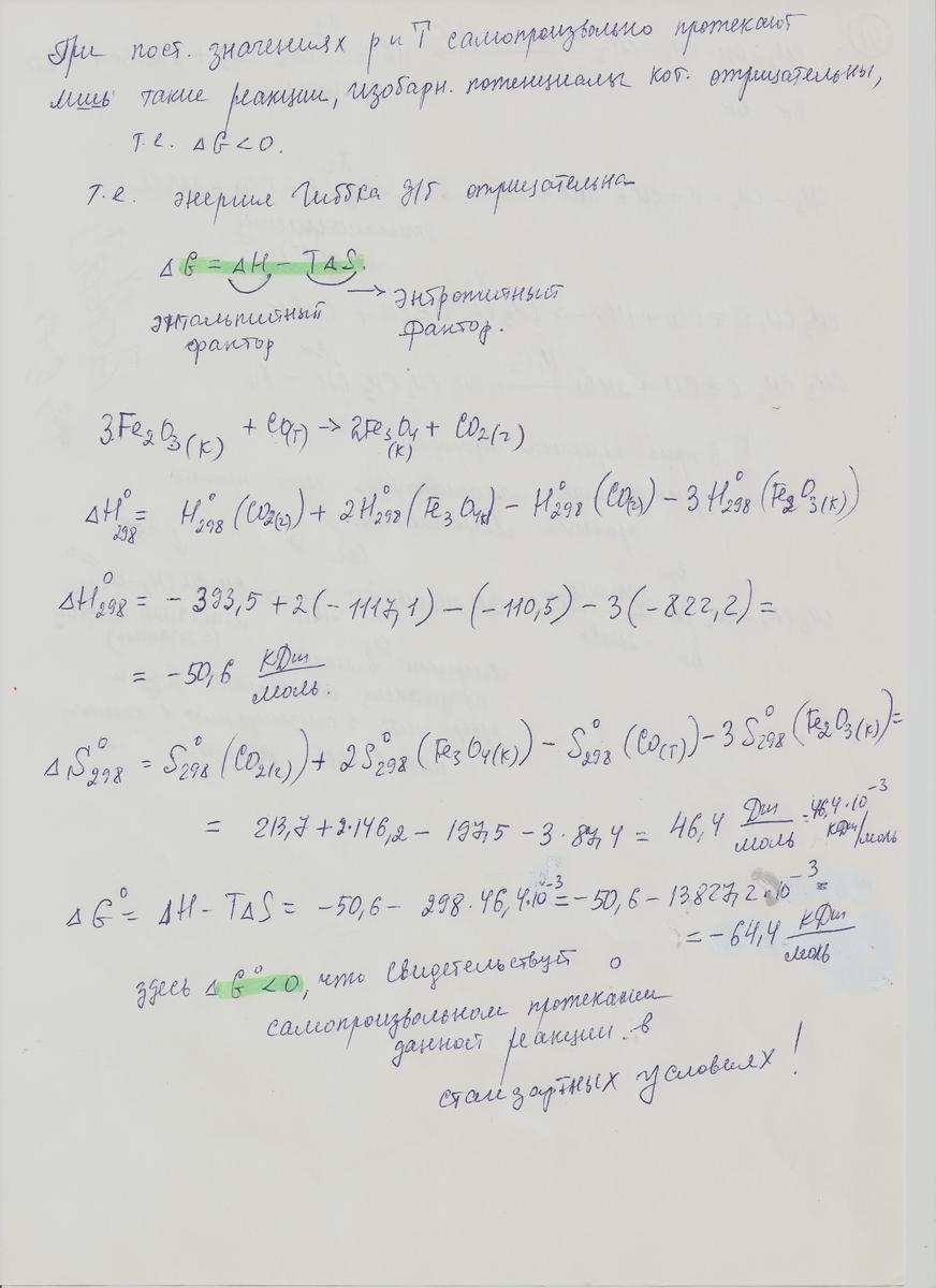
Определите расчетом, какие из реакций могут протекать самопроизвольно в стандартных условиях (предварительно уравняйте реакции)
Fe2O3(к) + CO(г) → Fe3O4(к) + CO2(г)

Ответы

Ответ дал: saliva
0
ответ см. в прикрепленном файле. 
Приложения:
Вас заинтересует