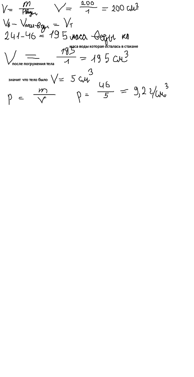
Масса до краёв заполненной пробирки с водой M1=200 г. После того как в неё поместили кусочек металла массой m=46 г, масса пробирки стала равна M2=241 г. Определить плотность металла, если плотность воды равна 1 г/см3. Ответ выразить в г/см3, округлив до десятых.
Ответы
Ответ дал:
0
,,,,,,,,,,,,,,,,,,,,,,,
Приложения:

Ответ дал:
0
Спасибо)
Ответ дал:
0
откуда V=5 СМ 3
Ответ дал:
0
195 см^3 воды стало и значит 5 см^3 само железо
Вас заинтересует
2 года назад
7 лет назад
7 лет назад
10 лет назад
10 лет назад
10 лет назад