Ответы
Ответ дал:
0
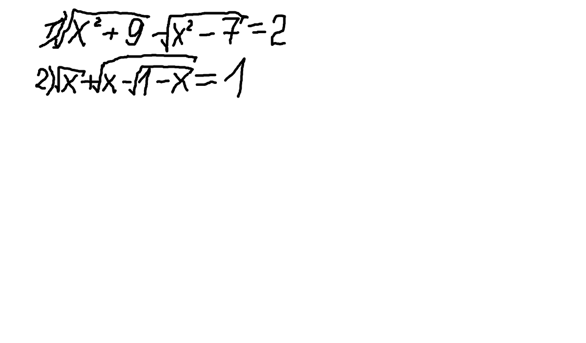
1) √(x² + 9) - √(x² - 7) = 2
√(x² + 9) = 2 + √(x² - 7)
(√(x² + 9))² = (2 + √(x² - 7))²
x² + 9 = 4 + 2*2√(x² - 7) + x² - 7
-3 + 4√(x² - 7) = 9
4√(x² - 7) = 9 + 3
4√(x² - 7) = 12
√(x² - 7) = 12/4
√(x² - 7) = 3
(√(x² - 7))² = 9
x² - 7 = 9
x² = 9 + 7
x² = 16
х = +-4
Ответ: 4 и -4
2) √x + √(x - √(1 - x)) = 1
√(x - √(1 - x)) = 1 - √x
(√(x - √(1 - x)))² = (1 - √x)²
x - √(1 - x) = 1 - 2√x + x
- √(1 - x) = 1 - 2√x | : (-1)
√(1 - x) = 2√x - 1
(√(1 - x))² = (2√x - 1)²
1 - x = 4x - 2*2√x + 1
-x - 4x = -4√x
-5x = -4√x
25x² = 16x
25x² - 16x = 0
x(25x - 16) = 0
x = 0 или 25х - 16 = 0
25х = 16
х = 16/25
Ответ: 0 и 16/25
√(x² + 9) = 2 + √(x² - 7)
(√(x² + 9))² = (2 + √(x² - 7))²
x² + 9 = 4 + 2*2√(x² - 7) + x² - 7
-3 + 4√(x² - 7) = 9
4√(x² - 7) = 9 + 3
4√(x² - 7) = 12
√(x² - 7) = 12/4
√(x² - 7) = 3
(√(x² - 7))² = 9
x² - 7 = 9
x² = 9 + 7
x² = 16
х = +-4
Ответ: 4 и -4
2) √x + √(x - √(1 - x)) = 1
√(x - √(1 - x)) = 1 - √x
(√(x - √(1 - x)))² = (1 - √x)²
x - √(1 - x) = 1 - 2√x + x
- √(1 - x) = 1 - 2√x | : (-1)
√(1 - x) = 2√x - 1
(√(1 - x))² = (2√x - 1)²
1 - x = 4x - 2*2√x + 1
-x - 4x = -4√x
-5x = -4√x
25x² = 16x
25x² - 16x = 0
x(25x - 16) = 0
x = 0 или 25х - 16 = 0
25х = 16
х = 16/25
Ответ: 0 и 16/25
Вас заинтересует
3 года назад
3 года назад
8 лет назад
10 лет назад
11 лет назад