• Предмет: Математика
  • Автор: vklochkin
  • Вопрос задан 10 лет назад

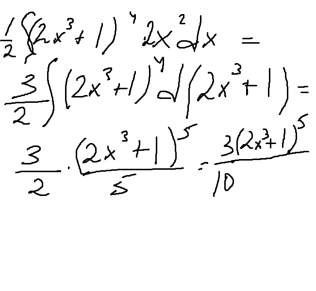
вычислить неопределенные интегралы методом замены переменной(подстановкой):
(2x^3+1)^4*x^2dx

Ответы

Ответ дал: Аноним
0
==============
Ответ на картинке
==============
Приложения:
Вас заинтересует
11 лет назад