• Предмет: Геометрия
  • Автор: travyshka
  • Вопрос задан 10 лет назад

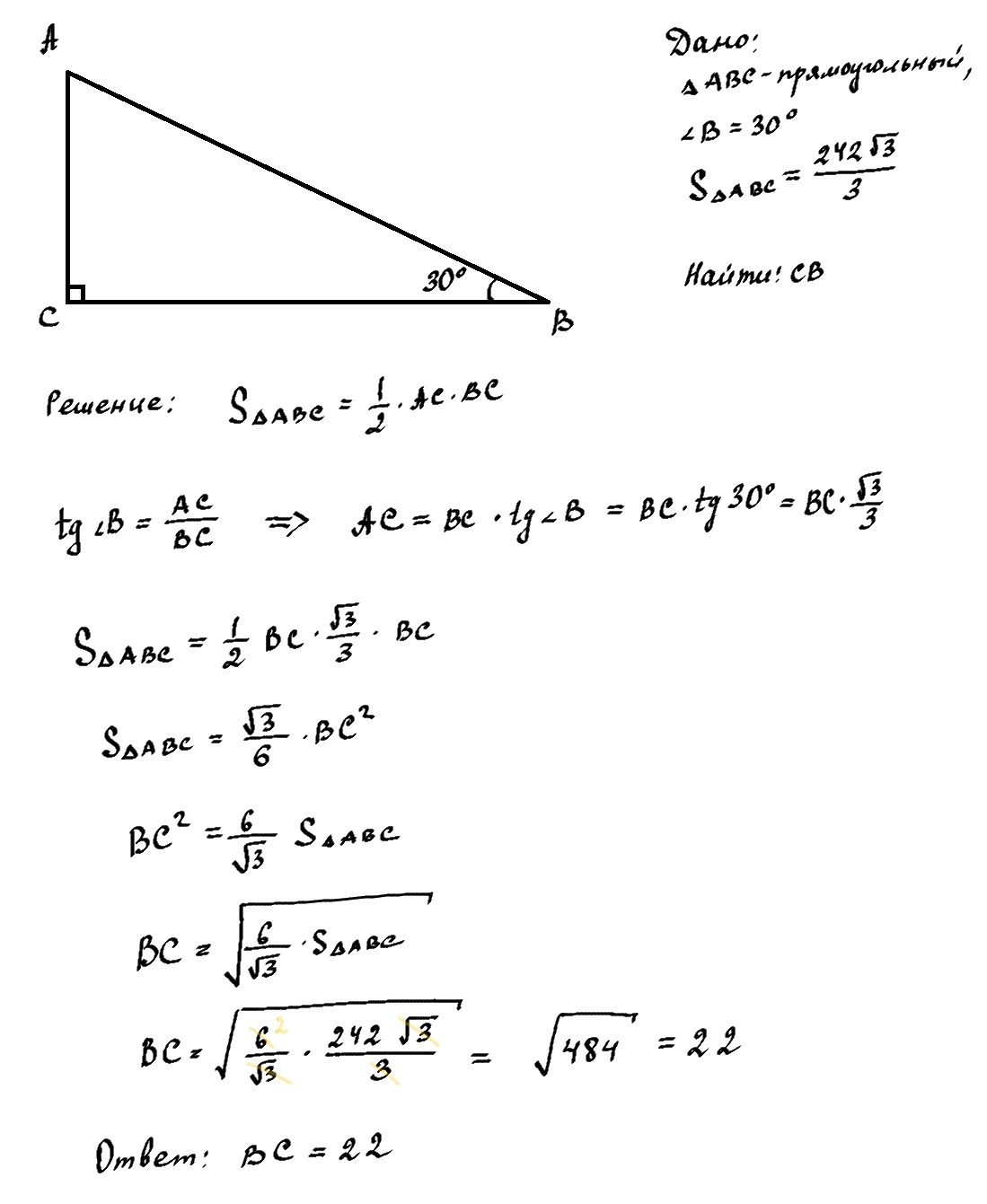
Площадь прямоугольника треугольника равна 242 корень из 3 и делить на 3. Один из острых углов 30 градусов. Найдите длину катета, прилежащего к этому углу. С подробным решением.

Ответы

Ответ дал: UluanaV
0
Решение в прикрепленном файле.
Приложения:
Вас заинтересует