Ответы
Ответ дал:
0
Ответ дал:
0
в силу невнимательности пропустила, уже исправила
Ответ дал:
0
умничка
Ответ дал:
0
умница лучший ответ и 5 балов готово!
Ответ дал:
0
Решишь чуть посложнее?
Ответ дал:
0
Если смогу - решу, а если нет, то понятно, что нет.
Ответ дал:
0
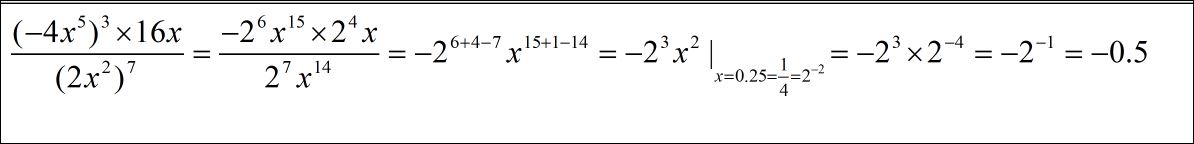
решение смотри во вложении
Приложения:

Вас заинтересует
2 года назад
2 года назад
7 лет назад
7 лет назад
10 лет назад
10 лет назад
10 лет назад