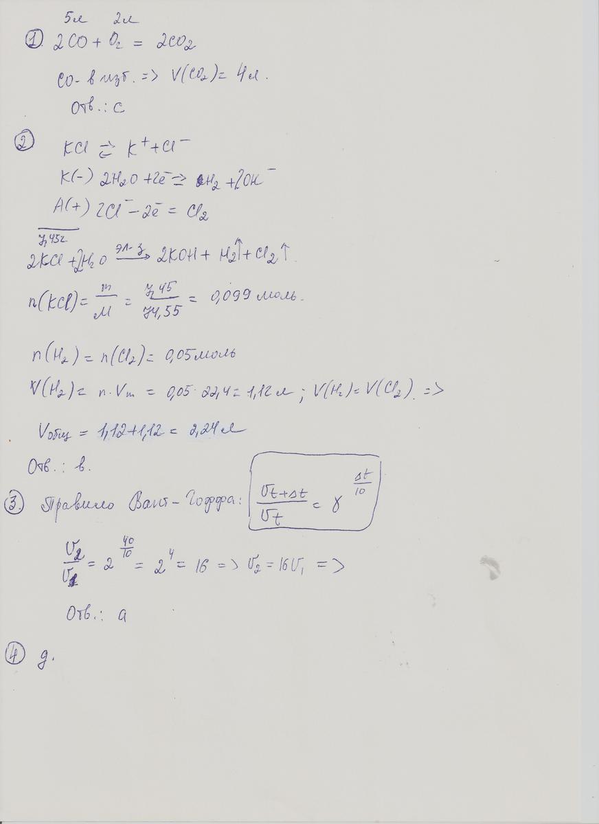
1)объем газов поле взаимодействия 5л СО и 2л О2 (н.у.)
А)1л В)2л С)4л Д)3л Е)5л
2)сумма объёмов всех газов , полученных при электролизе раствора,содержащего 7,45 г хлорида калия_а)1.68л в)2.24л с)4.48л д)8.96л е)1.12л
3)если температуру повысить с 50^oС до 90^oC(y=2), то скорость реакции возрастет в
а)16 раз в)8 раз с)10 раз д) 12 раз е)4раза
4)к природным полимерам не относится-- а)целлюлоза в) крахмал с)белок д)капрон е)нуклеиновая кислота
электронная формула типичного металла-а)1s2 2s2 2p6 3s1 b)1s2 2s2 2p6
РЕШИТЕ ПОЖАЛУЙСТА
Ответы
Ответ дал:
0
ответ во вложенном файле
Приложения:

Вас заинтересует
2 года назад
7 лет назад
7 лет назад
10 лет назад
10 лет назад