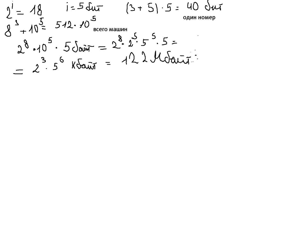
Сколько существует автомобильных номеров, содержащих три буквы и 5 цифр, если используется всего
8 букв и 10 цифр при условии, что буквы не повторяются? Требуемый для записи этого объем
информации?
Ответы
Ответ дал:
0
,,,,,,,,,,,,,,,,,,,,,,,,,,,,,,,,,,,,,,,,,,,,,,,,,,
Приложения:

Вас заинтересует
2 года назад
7 лет назад
7 лет назад
10 лет назад
10 лет назад
10 лет назад