Ответы
Ответ дал:
0
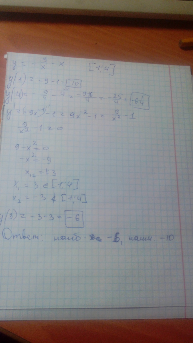
Наибольшее -6..............
Приложения:
Ответ дал:
0
незнаю нас не так учили,у меня так и так получилось наим -10,наибольшее -6
Ответ дал:
0
всё вас учили, ты просто не до конца доделала. Ты крит. точки нашла, но не выяснила как макс. какая мин. Ты поимёшь ошибку, если построишь график
Ответ дал:
0
не буду спорить,но мы так писали,пусть будет так как у тебя
Ответ дал:
0
вообще, если всё таки вычислять, то можно заметить, что наибольшее значение будет в точке 2.9999999999999
Ответ дал:
0
ну незнаю,пусть будет так
Ответ дал:
0
Наибольшее значение функции, ест максимальное значение её точки максимума.
Найдём производную: f'(x)=9/x² - 1
Найдём крит. точки: 9/x² - 1=0 ⇒ x²=9 ⇒ x=+-3 и x≠0 (точка разрыва)
Функция убывает: (-3;0)∨(0;3) и возрастает (-∞;-3)∨(3;+∞)
След-но функция принимает своё наибольшее значение на заданном отрезке в точке x=4. Оно равно: -9/4-4=-6.25
Наименьшее значение в точке минимума x=3: y=-(9/3)-3=-6
Найдём производную: f'(x)=9/x² - 1
Найдём крит. точки: 9/x² - 1=0 ⇒ x²=9 ⇒ x=+-3 и x≠0 (точка разрыва)
Функция убывает: (-3;0)∨(0;3) и возрастает (-∞;-3)∨(3;+∞)
След-но функция принимает своё наибольшее значение на заданном отрезке в точке x=4. Оно равно: -9/4-4=-6.25
Наименьшее значение в точке минимума x=3: y=-(9/3)-3=-6
Приложения:
Ответ дал:
0
-6 это наибольшее,а не наименьшее.
Ответ дал:
0
нет, в точке 3 функция завершает убывать, а далее она только возрастает
Вас заинтересует
3 года назад
3 года назад
8 лет назад
8 лет назад
10 лет назад
11 лет назад