• Предмет: Математика
  • Автор: saniyaaekina
  • Вопрос задан 10 лет назад

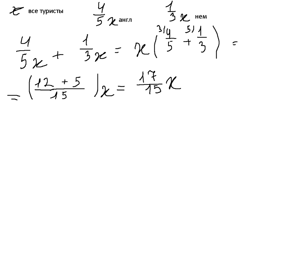
В город приехали туристы из них 4/5 знают английский а 1/3 знают немецкий . Вообщем сколько части туристов знают английский и немецкий .
Помогите плиз дам 20 баллов )

Ответы

Ответ дал: blad3518
0
,,,,,,,,,,,,,,,,,,,,,,,,,,,,,
Приложения:
Вас заинтересует