• Предмет: Алгебра
  • Автор: ermashovdima
  • Вопрос задан 10 лет назад

Помогите пожалуйста очень надо!!!!
(8-х)(х-0.3)>или меньше

Приложения:

Ответы

Ответ дал: susha2001
0
,,,,,,,,,,,,,,,,,,,,,,,,,,,,,,,,,,,,,,,,,,,
Приложения:
Ответ дал: волкодав777
0
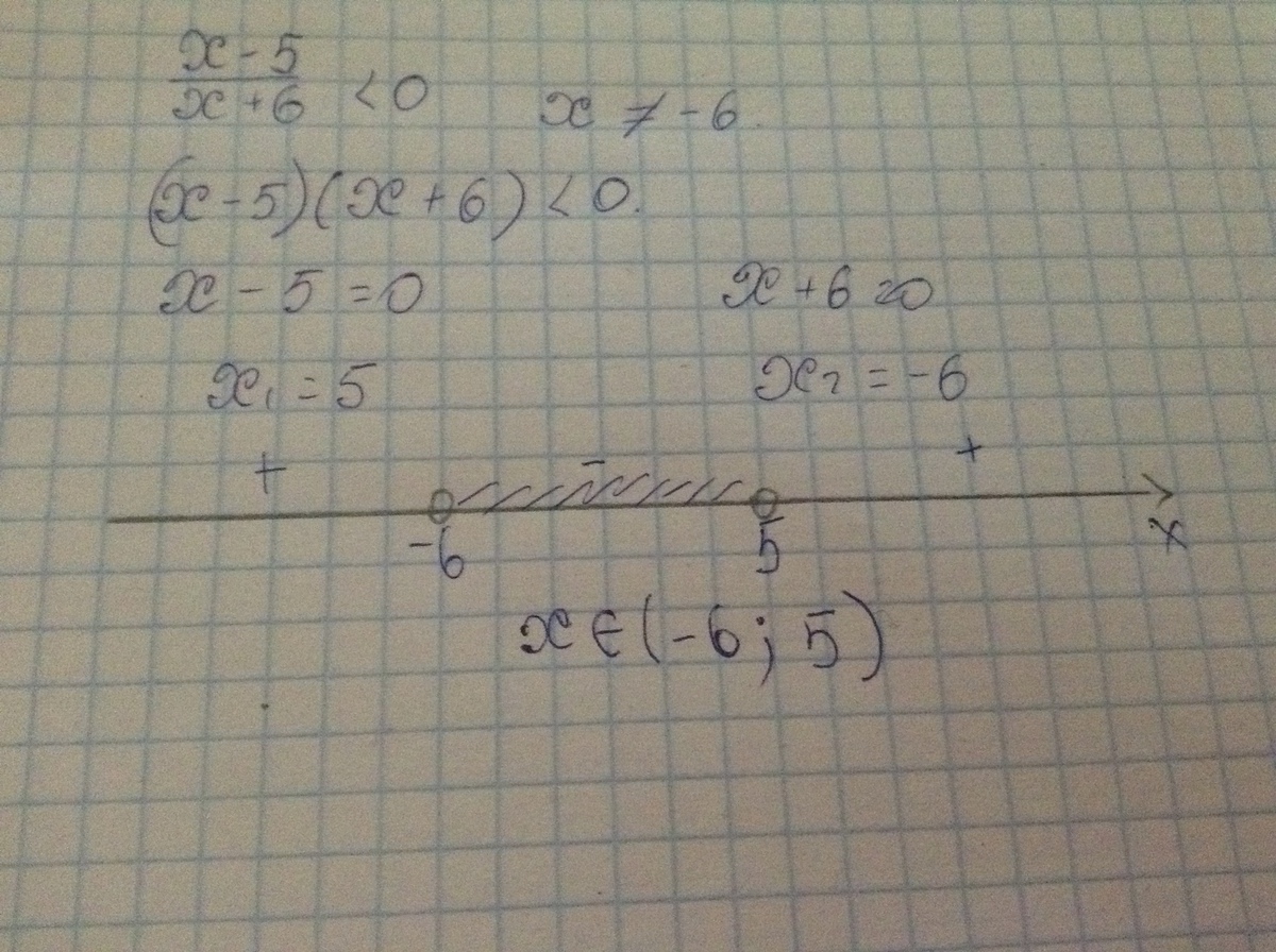
ответ будет
х=(-6; 5)
Приложения:
Вас заинтересует