Ответы
Ответ дал:
0
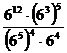
Во втором примере 6 в -3 степени делим на 6 в 16 степени >> 6 в -19 степени
Ответ дал:
0
насчет первого не уверена............
Приложения:

Вас заинтересует
2 года назад
2 года назад
10 лет назад
10 лет назад