• Предмет: Математика
  • Автор: Аноним
  • Вопрос задан 10 лет назад

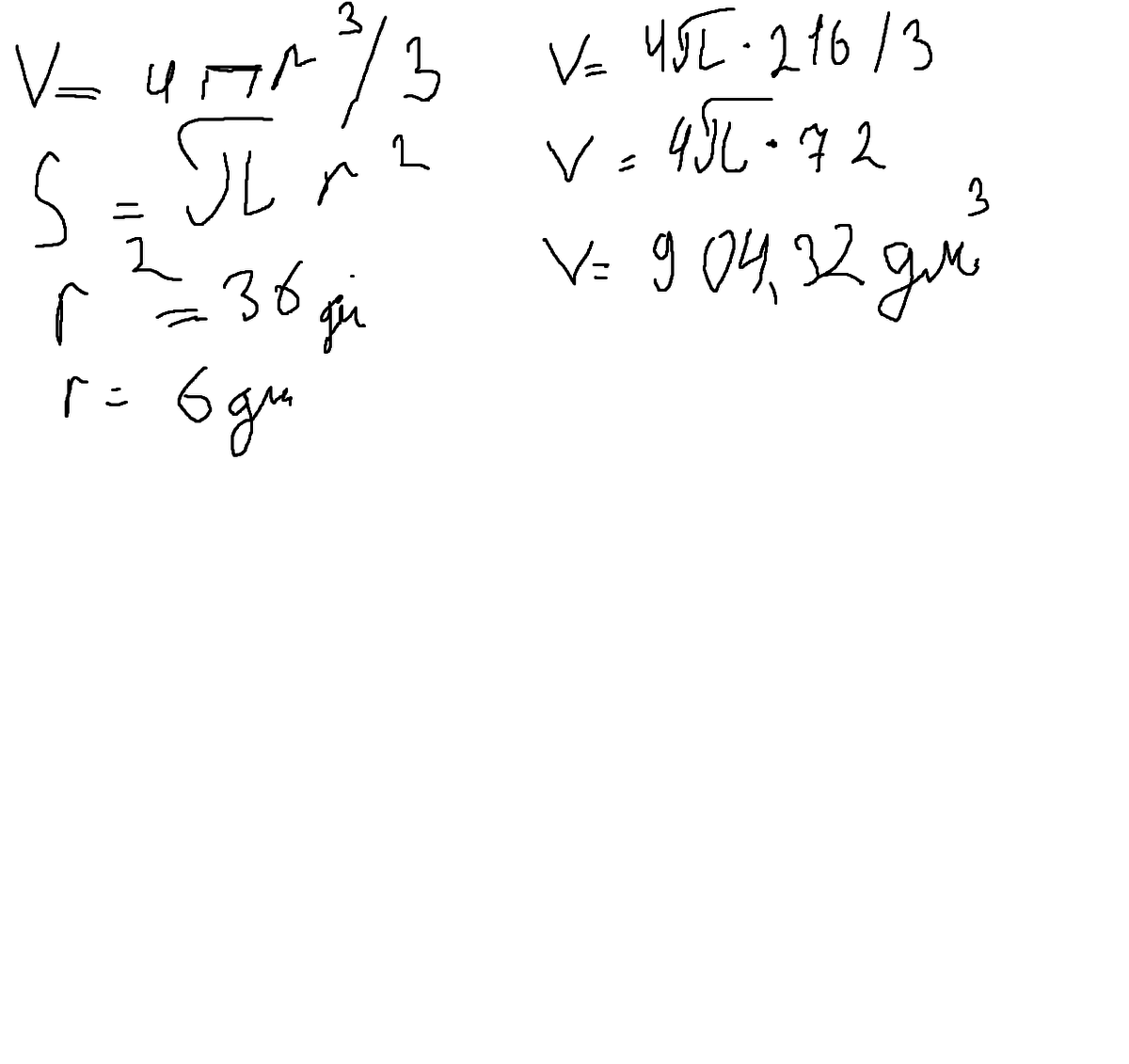
Найдите обьём шара, считая "пи" равным 3.14, если его поверхность имеет площадь 113.04дм2

Ответы

Ответ дал: blad3518
0
,,,,,,,,,,,,,,,,,,,,,,,,,,,,,,,,
Приложения:
Вас заинтересует