Ответы
Ответ дал:
0
\\\\\\\\\\\\\\
Приложения:

Ответ дал:
0
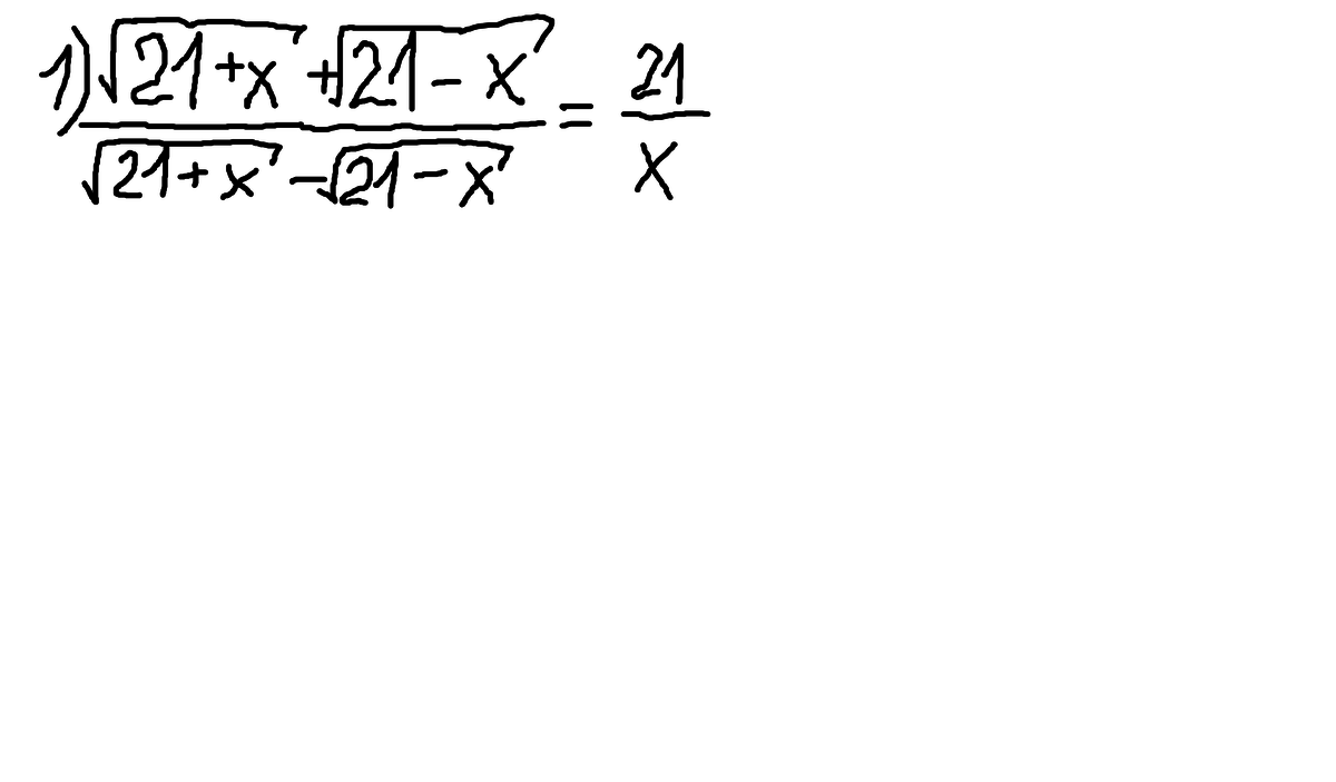
если x^2 = 441, то х = +- 21
Ответ дал:
0
Напишите, пожалуйста, полное решение с ОДЗ и т.д., и я выберу лучшее решение
Ответ дал:
0
Вы это задание уже выкладывали --- там есть полное решение (два дня назад)))
Вас заинтересует
7 лет назад
7 лет назад
10 лет назад
10 лет назад
10 лет назад