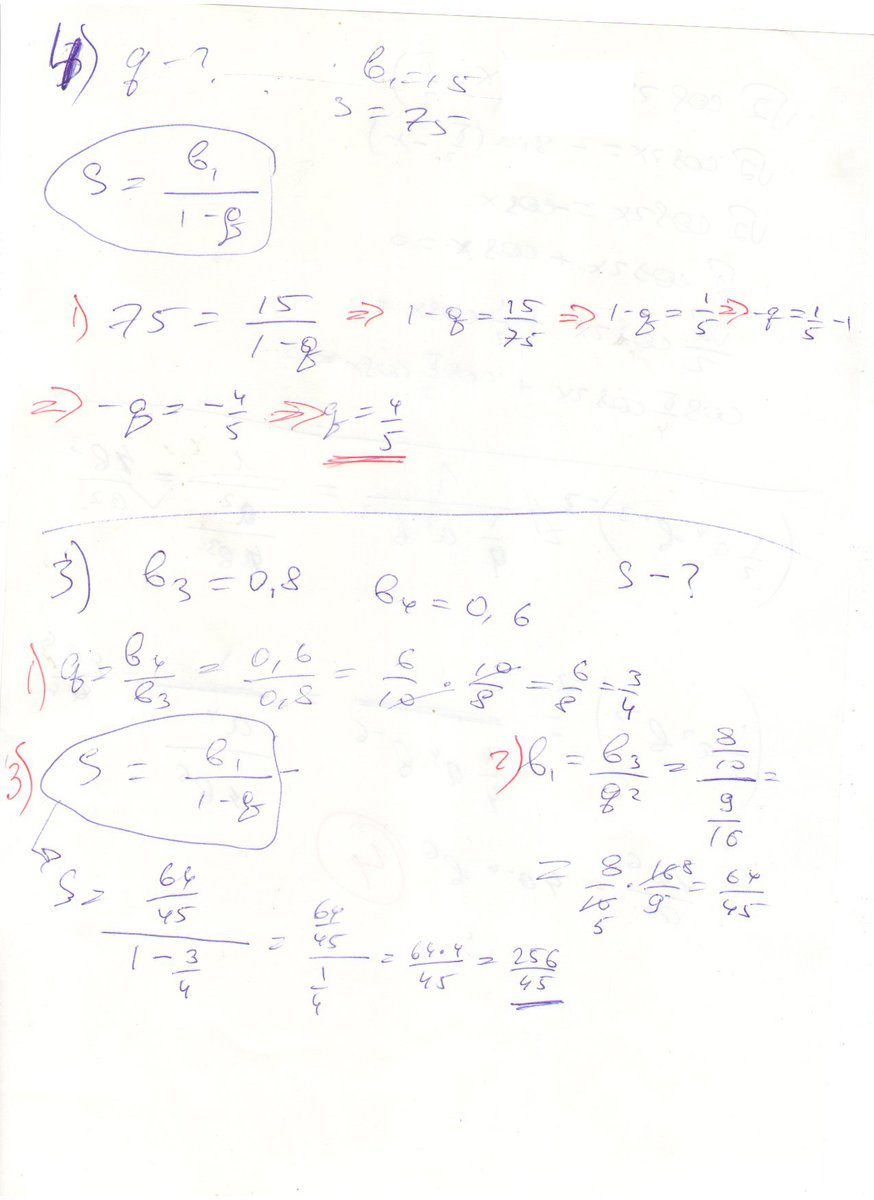
3. Найдите сумму членов бесконечно убывающей геометр. прогр. , если b3=0,8 , b4=0.16
4. Найдите , чему равен q - знаменатель бесконечно убывающей геометр. прогр. , первый член которой равен 15, а сумма всех членов равна 75, и укажите в ответе 10q.
Ответы
Ответ дал:
0
Я решил сначала четвертый номер, а потом третий, поэтому не перепутайте=)
То, что написано красной ручкой это не стоит писать в тетрадь, это я сделал потому, чтобы вы не спутались. С поэтапным решением так сказать.
То, что написано красной ручкой это не стоит писать в тетрадь, это я сделал потому, чтобы вы не спутались. С поэтапным решением так сказать.
Приложения:

Вас заинтересует
2 года назад
2 года назад
7 лет назад
10 лет назад
10 лет назад
10 лет назад