Помогите: 7 класс Алгебра Мордкович. ДКР №4 Вариант 1. Задание 6.
Вычислите наиболее рациональным способом.
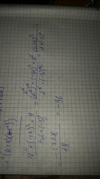
4²*(-12)³*9 РАЗДЕЛИТЬ НА 32*(-3⁴)
Знак * - умножить.
Заранее Спасибо!:)
Ответы
Ответ дал:
0
все равно вычисление нужно делать
Приложения:

Вас заинтересует
2 года назад
7 лет назад
7 лет назад
10 лет назад
10 лет назад
10 лет назад